Pembahasan Mathematics4us kali ini membahas mengenai kelanjutan materi turunan yaitu fungsi naik dan fungsi turun, serta nilai stasioner. Selain itu pemanfaatan fungsi turunan dalam kehidupan sehari-hari.
A. Fungsi Naik dan Fungsi Turun
Untuk mengetahui maksud dari fungsi naik dan fungsi turun, perhatikan gambar berikut.

Suatu fungsi dikatakan fungsi naik ataupun fungsi turun jika memenuhi kriteria berikut:
- Fungsi naik jika f’(x) > 0
- Fungsi turun jika f’(x) < 0
Untuk lebih memahami fungsi naik dan fungsi turun, maka berikut contohnya :
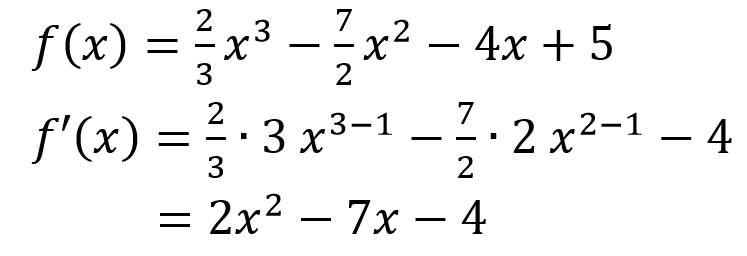
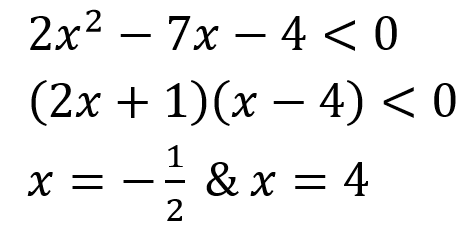
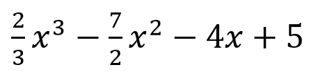
- Tentukan interval fungsi naik dan fungsi turun fungsi

Jawab:


- Fungsi naik jika f’(x) > 0, sehingga intervalnya berada pada x < –2 atau x < 3
- Fungsi turun jika f’(x) < 0, sehingga intervalnya berada pada –2 < x < 3
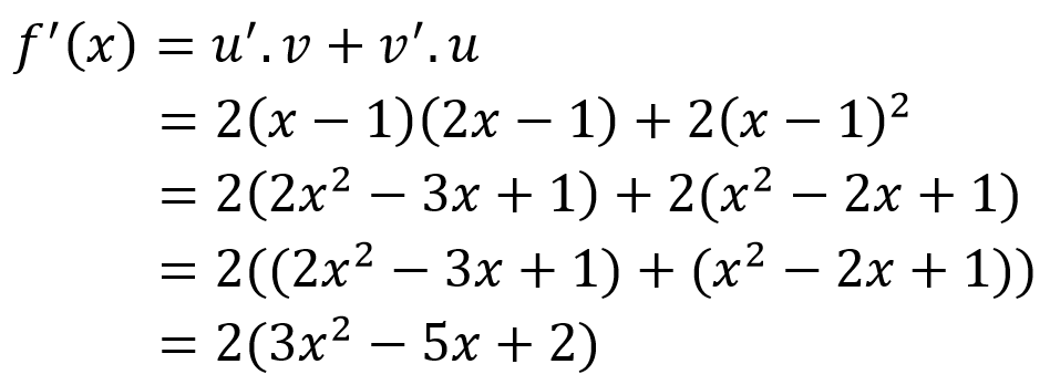
- Fungsi
turun pada interval ….
Jawab:

Fungsi turun jika f’(x) < 0


Jadi fungsi turun pada interval ![]()
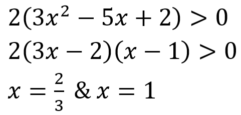
- Fungsi
merupakan fungsi naik pada interval …..
Jawab:
![]()
Misalkan


Fungsi naik jika f’(x) > 0

Jadi fungsi naik pda interval ![]()

Thank you … Tomorrow I will have a math exam so that my grades are the highest
You are welcome. 😄